Contact Us

  • Suzhou Health Chemicals Co., Ltd.
  • Tel : +86-512-58277800
  • FAX : +86-512-58999904
  • Address : No. 338, Jingang Avenue, ZhangJiaGang City, Jiangsu Province, China.
  • P.C. : 215600
  • Email : sales@healthchems.com; sales@healthchemicals.com; healthchemicals@gmail.com
  • QQ : 3204448574
  • Skype : healthchemicals

ProductsDetails

Product Name:
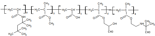
Octylacrylamide Acrylates Butylaminoethyl Methacrylate Copolymer
CAS No:
70801-07-9
EC No:
615-171-2
Synonyms:
OCTYLACRYLAMIDE/ACRYLATES/BUTYLAMINOETHYL METHACRYLATE COPOLYMER;2-Propenoic acid, 2-methyl-, 2-(1,1-dimethylethyl)aminoethyl ester, polymer with methyl 2-methyl-2-propenoate, 1,2-propanediol mono(2-methyl-2-propenoate), 2-propenoic acid and N-(1,1,3,3-tetramethylbutyl)-2-propenamide;mixed methacrylates/ acrylic acid/ tert-octylacrylamide Octylacrylamide Acrylates Butylaminoethyl Methacrylate Copolymer Acrylic Acid; 2-(Tert-Butylamino)Ethyl 2-Methylprop-2-Enoate; 2-Hydroxypropyl 2-Methylprop-2-Enoate; Methyl 2-Methylprop-2-Enoate; N-(1,1,3,3-Tetramethylbutyl)Prop-2-Enamide; Acrylic Acid 2-Propenoic acid, 2-methyl-, 2-[(1,1-dimethylethyl)amino]ethyl ester, polymer with methyl 2-methyl-2-propenoate, 1,2-propanediol mono(2-methyl-2-propenoate), 2-propenoic acid and N-(1,1,3,3-tetramethylbutyl)-2-propenamide; 2-(tert-butylamino)ethyl 2-methylprop-2-enoate; 2-hydroxypropyl 2-methylprop-2-enoate; methyl 2-methylprop-2-enoate; prop-2-enoic acid; N-(2,4,4-trimethylpentan-2-yl)prop-2-enamide acrylic acid; 2-(tert-

Product Introduction

规格 / Specification

项目 / Item

标准 / Standards

外观 / Appearance

无色或黄色透明液体 / Colorless or yellow transparent liquid

气味 / Odor

典型 / Characteristic

固含量 / Content

29%~31%

浊度 / Turbidity

7 NTU

酸值 / Acidity value

0.56~0.67 meq/g


功效 / Functions

该产品是两性定型聚合物的乙醇溶液。在正常固含量发胶中具有强定型能力。在低固含量的体系中能赋予头发柔软、自然的感觉,同时能保持较好定型能力。在不同的温度及湿度条件下,具有优异的卷曲保持率。广泛用于定型喷雾、定型摩丝、定型凝胶以及定型乳等各种头发定型产品中。

An ethanolic solution of an amphoteric styling polymer. Strong hold in normal solids hairsprays. Imparts a soft, natural feel to hair in low solids systems while maintaining good hold. Excellent curl retention under different temperature and humidity conditions. It can be used in a wide range of hair styling products such as styling sprays, styling mousses, styling gels and styling creams.

1: Good compatibility with alkane propellants.

2: Affinity to hair. Forms a homogeneous, transparent and smooth polymer film on the hair strand.

3: Excellent and long-lasting hold, giving the hair a natural feel.

4: Excellent hold at different temperatures and humidity levels.

5: Easy to wash off, no damage to the hair.


应用 / Applications

定型凝胶、定型喷雾、定型摩丝、定型乳、定型膏、定型啫喱

Styling Gels, Styling Sprays, Styling Mousse, Styling Lotion, Styling Creams, Styling Gel


包装 / Packing

180kgs/drum


运输编号 / UN number

UN 1170 3/PG II


储存条件 / Store at

密封保存于阴凉干燥处,避光避热 / Sealed storage in a cool and dry place, avoid light and heat.


保质期 / Shelf Life

两年 / Two years



If you would like to make an inquiry or learn more about the products, please fill in the following form, we will reply in 24 hours.

  • Company:
  • *Name:
  • *E-mail:
  • Tel:
  • Country:
  • *Content:
  •